Решебник №1
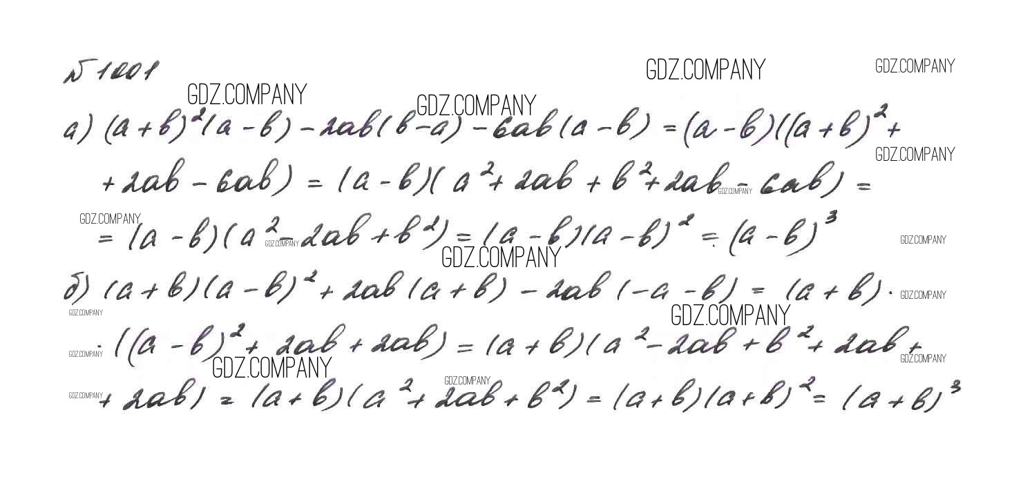
упражнение / 1001

Решебник №2
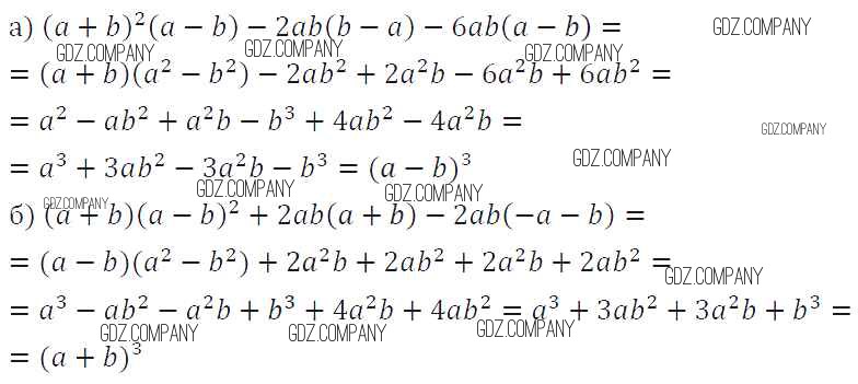
упражнение / 1001

Решебник №3
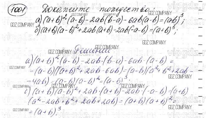
упражнение / 1001

Решебник №5
упражнение / 1001

Решебник №6
упражнение / 1001

Здесь готовые ответы по Алгебре за 7 (седьмой) класс от Макарычев, Миндюк, Нешков, Суворова Учебник (издательство: Просвещение от 2015 г.) № 1001