Решебник №1
контрольная работа-6 / вариант 2

Решебник №2
контрольная работа-6 / вариант 2

Решебник №3
контрольная работа-6 / вариант 2

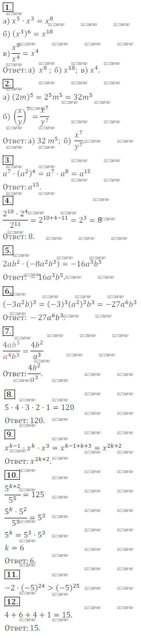
Здесь готовые ответы по Алгебре за 7 (седьмой) класс от Кузнецова, Минаева, Рослова, Суворова Контрольные работы (издательство: Просвещение от 2018 г.) № Вариант 2