Решебник №1
§33 / 2
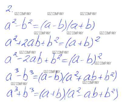
Решебник №2
§33 / 2
Здесь готовые ответы по Алгебре за 7 (седьмой) класс от Ключникова, Комиссарова Рабочая тетрадь УМК (издательство: Экзамен от 2013 г.) № 2