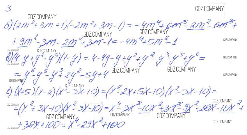
Решебник №1
§27 / 3
Решебник №2
§27 / 3
Здесь готовые ответы по Алгебре за 7 (седьмой) класс от Ключникова, Комиссарова Рабочая тетрадь УМК (издательство: Экзамен от 2013 г.) № 3