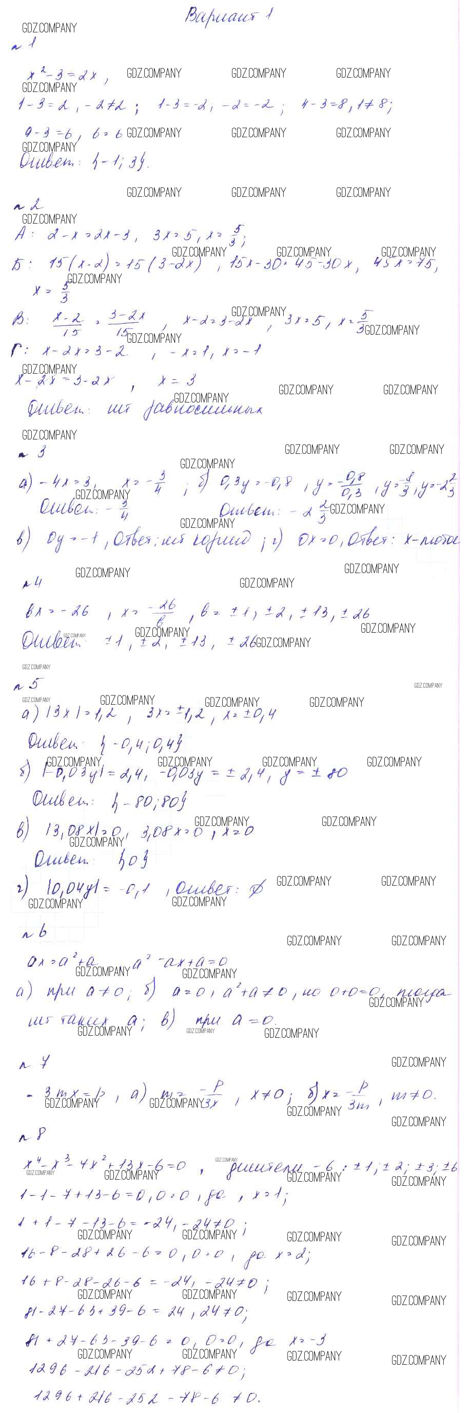
Решебник
самостоятельная работа / ср-9 / вариант 1

Здесь готовые ответы по Алгебре за 7 (седьмой) класс от Феоктистов Дидактические материалы Углубленный уровень (издательство: Мнемозина от 2016 г.) № Вариант 1 Углубленный уровень