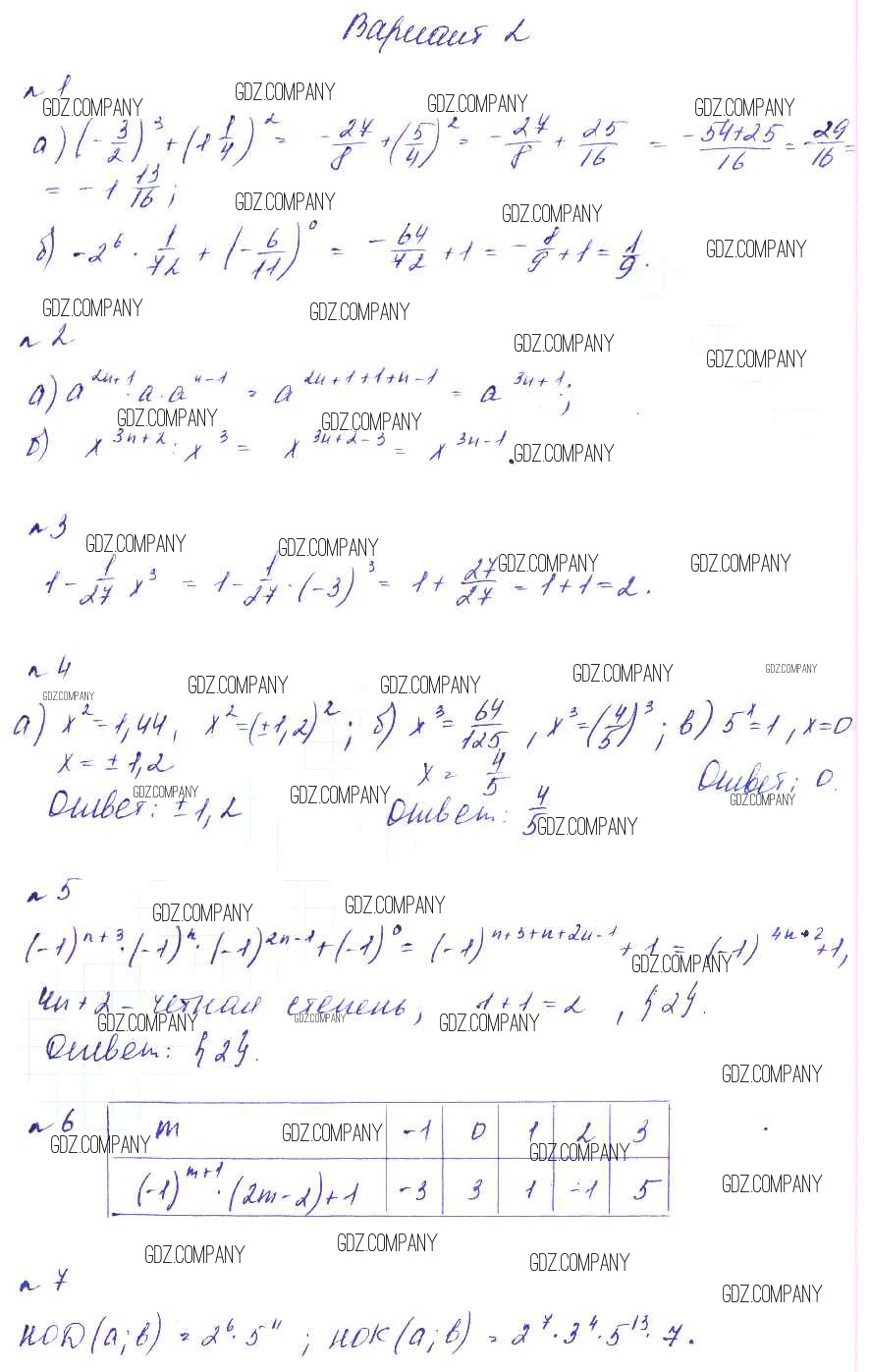
Решебник
самостоятельная работа / ср-4 / вариант 2

Здесь готовые ответы по Алгебре за 7 (седьмой) класс от Феоктистов Дидактические материалы Углубленный уровень (издательство: Мнемозина от 2016 г.) № Вариант 2 Углубленный уровень