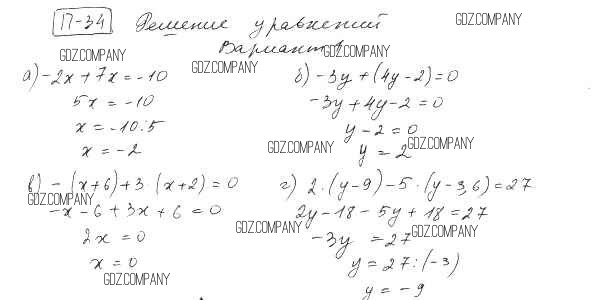
Решебник 1
проверочная работа / пр-34 / вариант 1

Решебник 2
проверочная работа / пр-34 / вариант 1

Здесь готовые ответы по Алгебре за 7 (седьмой) класс от Евстафьева, Карп Дидактические материалы (издательство: Просвещение от 2018 г.) № вариант 1