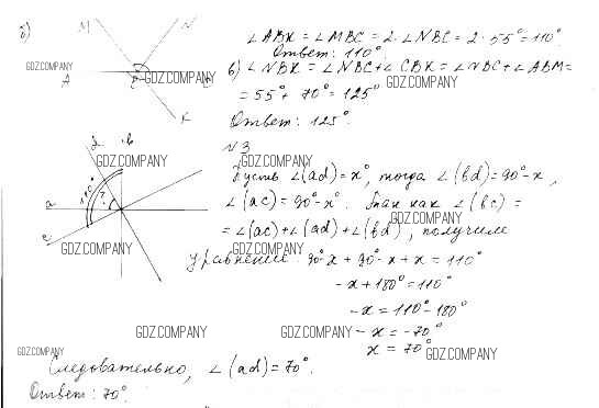
Решебник
геометрия / к уч. Атанасяна / контрольные работы / кр-1 / вариант Б-1


Здесь готовые ответы по Алгебре за 7 (седьмой) класс от Ершова, Голобородько Самостоятельные и контрольные работы (издательство: Илекса от 2015 г.) № вариант Б-1