Решебник
алгебра / самостоятельные работы / ср-17 / вариант Б-1


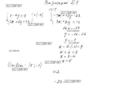
Здесь готовые ответы по Алгебре за 7 (седьмой) класс от Ершова, Голобородько Самостоятельные и контрольные работы (издательство: Илекса от 2015 г.) № вариант Б-1