Решебник
алгебра / самостоятельные работы / ср-13 / вариант В-1

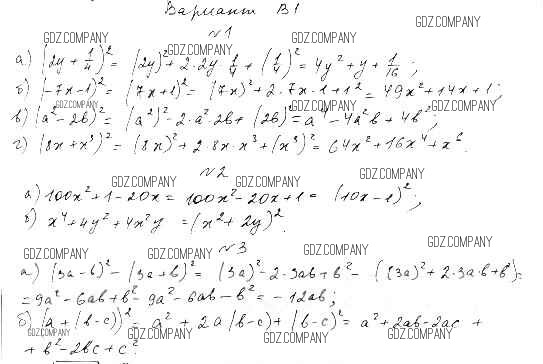
Здесь готовые ответы по Алгебре за 7 (седьмой) класс от Ершова, Голобородько Самостоятельные и контрольные работы (издательство: Илекса от 2015 г.) № вариант В-1