Решебник №1
упражнение / 451

Решебник №2
упражнение / 451

Решебник №3
упражнение / 451

Решебник №4
упражнение / 451

Решебник №5
упражнение / 451

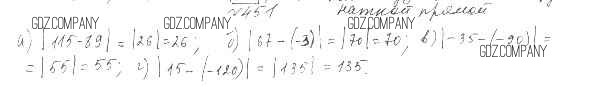
Здесь готовые ответы по Алгебре за 7 (седьмой) класс от Дорофеев, Суворова, Бунимович Учебник Академический школьный учебник (издательство: Просвещение от 2020 г.) № 451