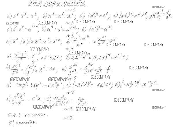
Решебник №2
упражнение / это надо уметь / глава 6








Решебник №4
упражнение / это надо уметь / глава 6

Здесь готовые ответы по Алгебре за 7 (седьмой) класс от Дорофеев, Суворова, Бунимович Учебник Академический школьный учебник (издательство: Просвещение от 2020 г.) № Глава 6