Решебник
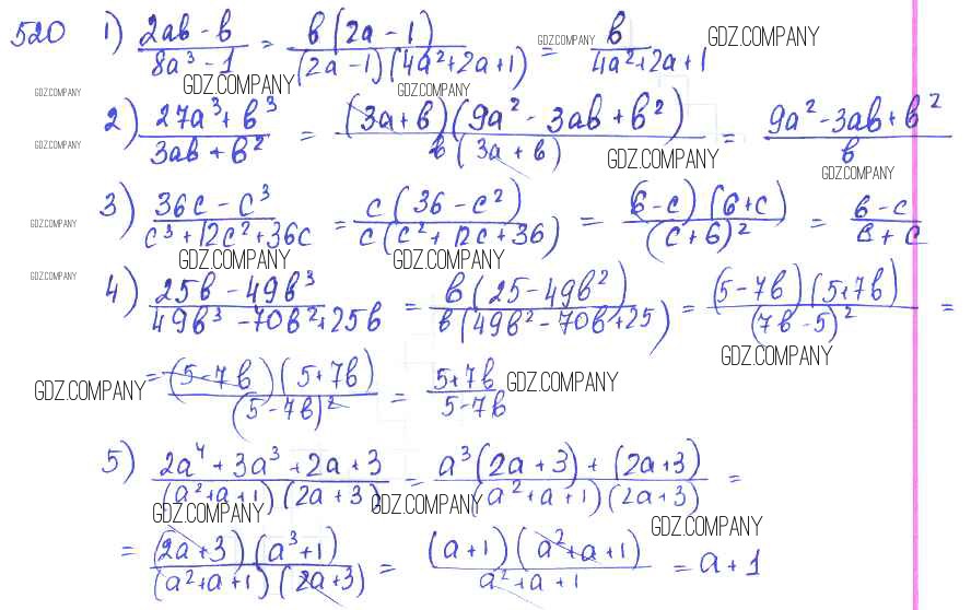
глава 5 / упражнение к главе 5 / 520

Решебник к старому учебнику
глава 5 / упражнение к главе 5 / 520

Здесь готовые ответы по Алгебре за 7 (седьмой) класс от Алимов, Колягин, Сидоров, Ткачева, Федорова, Шабунин Учебник (издательство: Просвещение от 2014 г.) № 520