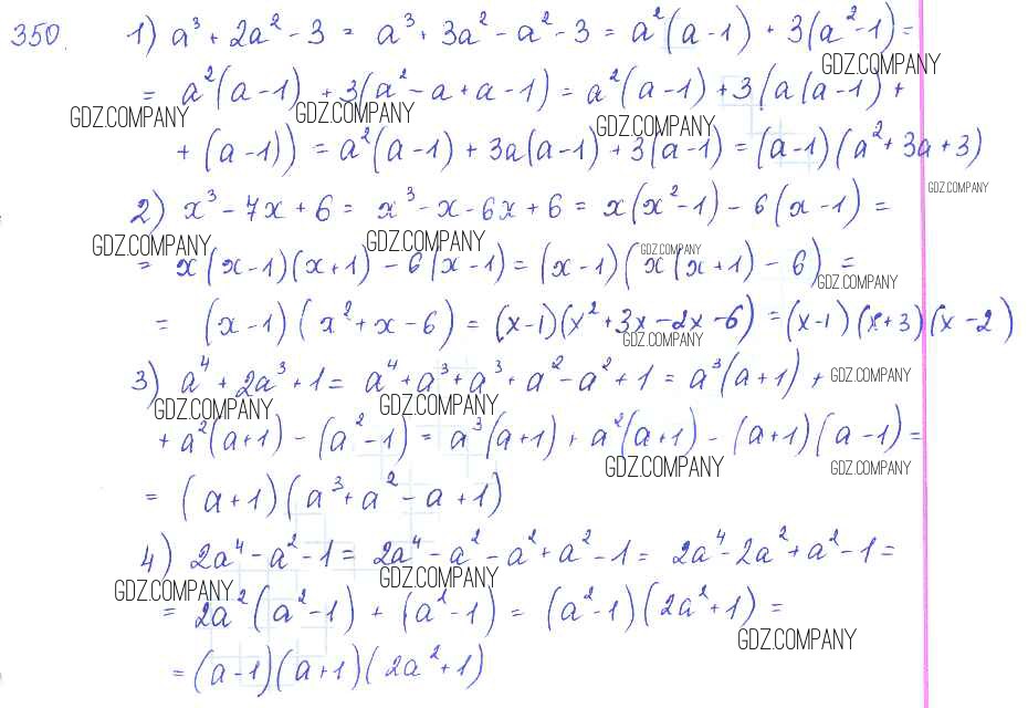
Решебник
глава 4 / §20 / 350

Решебник к старому учебнику
глава 4 / §20 / 350

Здесь готовые ответы по Алгебре за 7 (седьмой) класс от Алимов, Колягин, Сидоров, Ткачева, Федорова, Шабунин Учебник (издательство: Просвещение от 2014 г.) № 350