Решебник
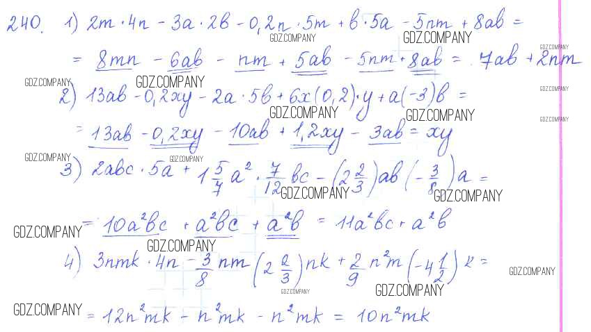
глава 3 / §14 / 240

Решебник к старому учебнику
глава 3 / §14 / 240


Здесь готовые ответы по Алгебре за 7 (седьмой) класс от Алимов, Колягин, Сидоров, Ткачева, Федорова, Шабунин Учебник (издательство: Просвещение от 2014 г.) № 240