Решебник
глава 3 / §11 / 212

Решебник к старому учебнику
глава 3 / §11 / 212

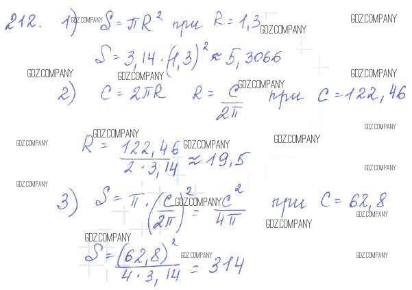
Здесь готовые ответы по Алгебре за 7 (седьмой) класс от Алимов, Колягин, Сидоров, Ткачева, Федорова, Шабунин Учебник (издательство: Просвещение от 2014 г.) № 212