Решебник
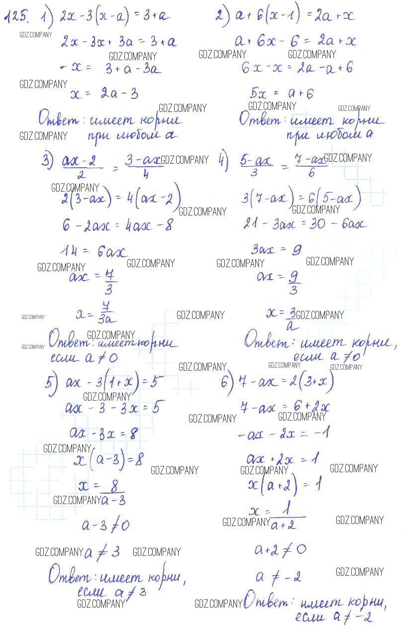
глава 2 / упражнение к главе 2 / 125

Решебник к старому учебнику
глава 2 / упражнение к главе 2 / 125

Здесь готовые ответы по Алгебре за 7 (седьмой) класс от Алимов, Колягин, Сидоров, Ткачева, Федорова, Шабунин Учебник (издательство: Просвещение от 2014 г.) № 125