Решебник
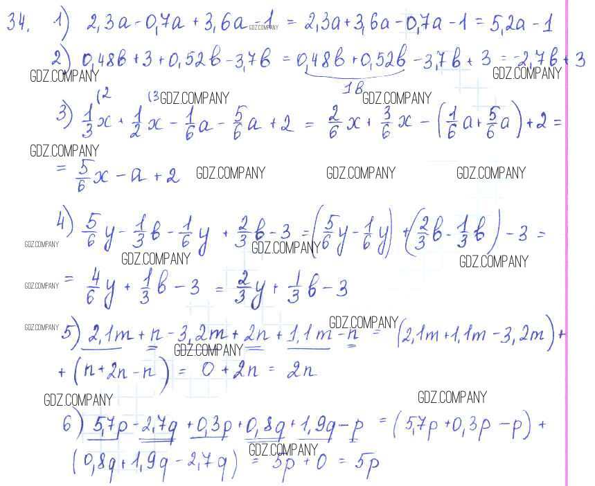
глава 1 / §4 / 34

Решебник к старому учебнику
глава 1 / §4 / 34

Здесь готовые ответы по Алгебре за 7 (седьмой) класс от Алимов, Колягин, Сидоров, Ткачева, Федорова, Шабунин Учебник (издательство: Просвещение от 2014 г.) № 34