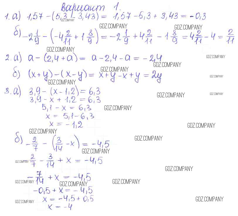
Решебник
самостоятельная работа / ср-38. вариант / 1
Здесь готовые ответы по Математике за 6 (шестой) класс от Журавлев, Изотова, Киреева Контрольные и самостоятельные работы УМК (издательство: Экзамен от 2015 г.) № 1