Решебник №1
глава 2 / §9 / 1468

Решебник №2
глава 2 / §9 / 1468

Решебник №3
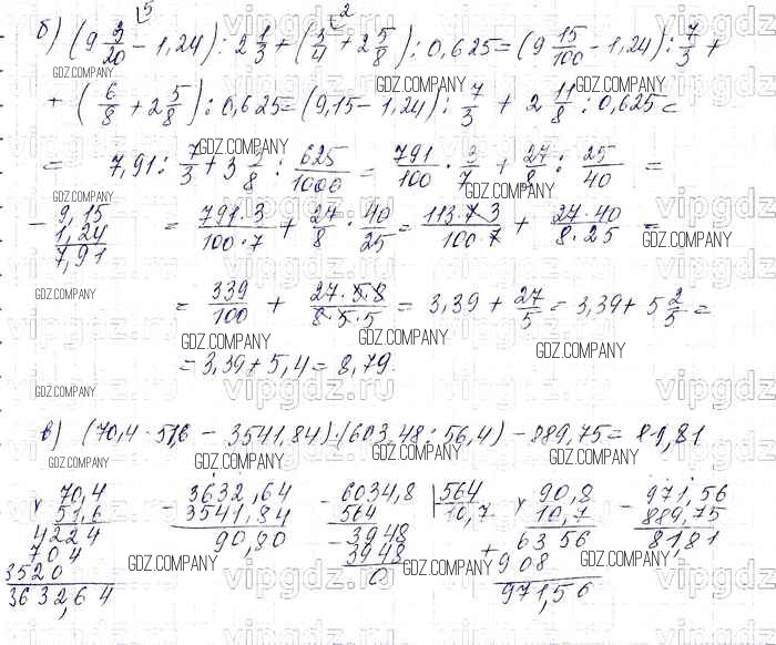
глава 2 / §9 / 1468

Решебник №5
глава 2 / §9 / 1468


Решебник №6
глава 2 / §9 / 1468

Решебник №8
глава 2 / §9 / 1468

Решебник №9
глава 2 / §9 / 1468

Здесь готовые ответы по Математике за 6 (шестой) класс от Виленкин, Жохов, Чесноков, Шварцбурд Учебник (издательство: Мнемозина от 2014 г.) № 1468