Решебник №1
глава 2 / §9 / 1436

Решебник №2
глава 2 / §9 / 1436

Решебник №3
глава 2 / §9 / 1436


Решебник №5
глава 2 / §9 / 1436


Решебник №6
глава 2 / §9 / 1436

Решебник №8
глава 2 / §9 / 1436

Решебник №9
глава 2 / §9 / 1436

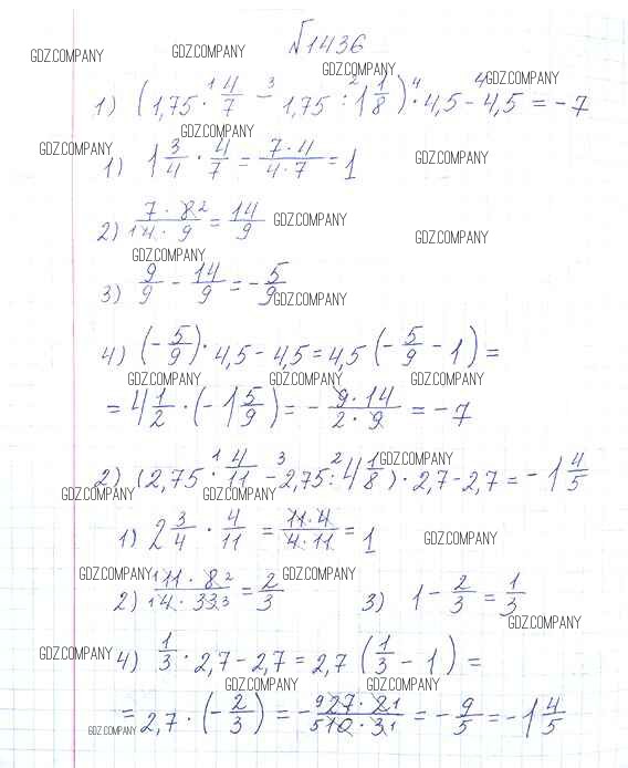
Здесь готовые ответы по Математике за 6 (шестой) класс от Виленкин, Жохов, Чесноков, Шварцбурд Учебник (издательство: Мнемозина от 2014 г.) № 1436