Решебник №1
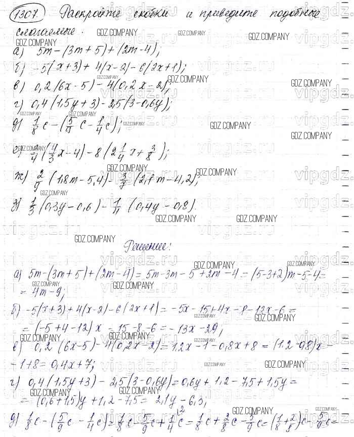
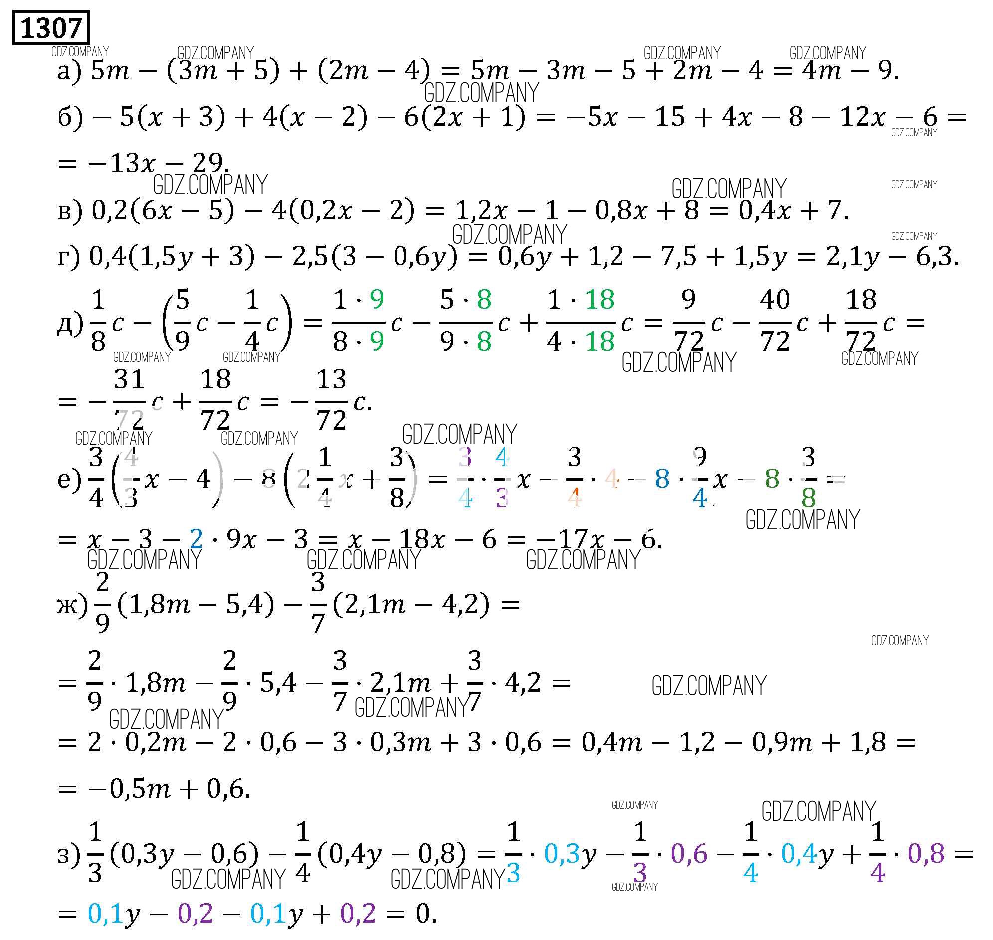
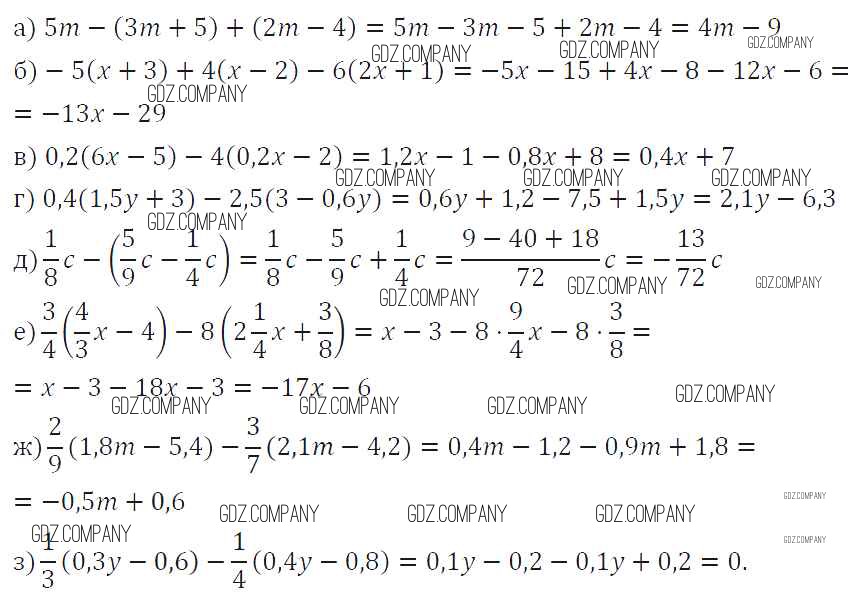
глава 2 / §8 / 1307

Решебник №2
глава 2 / §8 / 1307

Решебник №3
глава 2 / §8 / 1307


Решебник №5
глава 2 / §8 / 1307


Решебник №6
глава 2 / §8 / 1307

Решебник №8
глава 2 / §8 / 1307

Решебник №9
глава 2 / §8 / 1307

Здесь готовые ответы по Математике за 6 (шестой) класс от Виленкин, Жохов, Чесноков, Шварцбурд Учебник (издательство: Мнемозина от 2014 г.) № 1307