Решебник №1
глава 2 / §7 / 1163

Решебник №2
глава 2 / §7 / 1163

Решебник №3
глава 2 / §7 / 1163


Решебник №5
глава 2 / §7 / 1163


Решебник №6
глава 2 / §7 / 1163

Решебник №8
глава 2 / §7 / 1163

Решебник №9
глава 2 / §7 / 1163

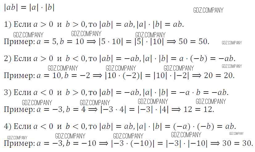
Здесь готовые ответы по Математике за 6 (шестой) класс от Виленкин, Жохов, Чесноков, Шварцбурд Учебник (издательство: Мнемозина от 2014 г.) № 1163