Решебник №1
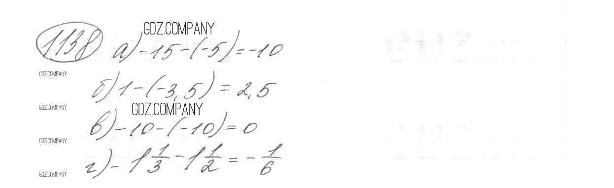
глава 2 / §7 / 1138

Решебник №2
глава 2 / §7 / 1138

Решебник №3
глава 2 / §7 / 1138


Решебник №5
глава 2 / §7 / 1138

Решебник №6
глава 2 / §7 / 1138


Решебник №8
глава 2 / §7 / 1138

Решебник №9
глава 2 / §7 / 1138

Здесь готовые ответы по Математике за 6 (шестой) класс от Виленкин, Жохов, Чесноков, Шварцбурд Учебник (издательство: Мнемозина от 2014 г.) № 1138