Решебник №1
глава 2 / §6 / 1095

Решебник №2
глава 2 / §6 / 1095

Решебник №3
глава 2 / §6 / 1095

Решебник №5
глава 2 / §6 / 1095

Решебник №6
глава 2 / §6 / 1095


Решебник №8
глава 2 / §6 / 1095

Решебник №9
глава 2 / §6 / 1095

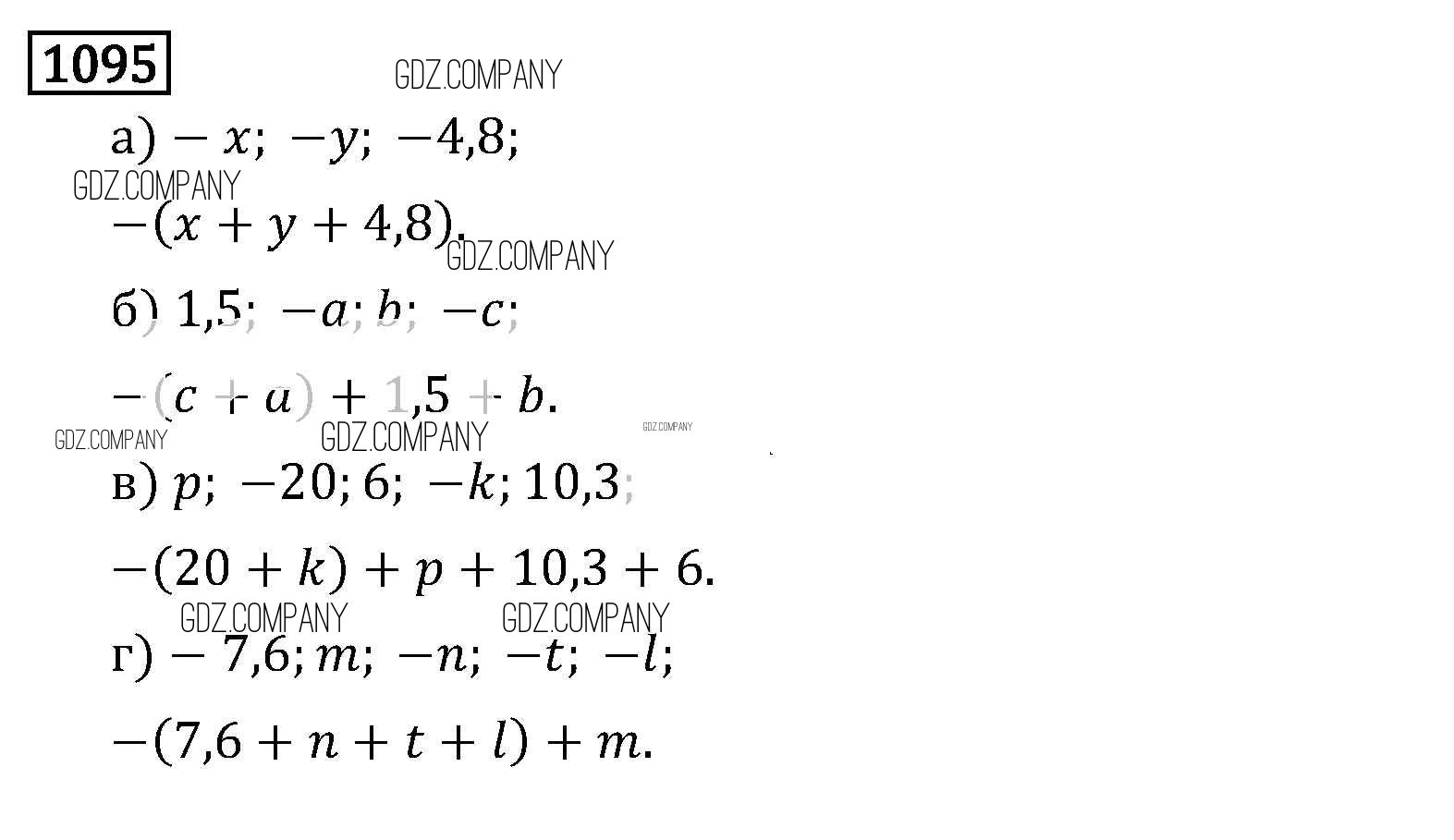
Здесь готовые ответы по Математике за 6 (шестой) класс от Виленкин, Жохов, Чесноков, Шварцбурд Учебник (издательство: Мнемозина от 2014 г.) № 1095