Решебник №1
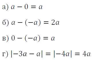
глава 2 / §6 / 1076

Решебник №2
глава 2 / §6 / 1076

Решебник №3
глава 2 / §6 / 1076

Решебник №5
глава 2 / §6 / 1076


Решебник №6
глава 2 / §6 / 1076

Решебник №8
глава 2 / §6 / 1076

Решебник №9
глава 2 / §6 / 1076

Здесь готовые ответы по Математике за 6 (шестой) класс от Виленкин, Жохов, Чесноков, Шварцбурд Учебник (издательство: Мнемозина от 2014 г.) № 1076