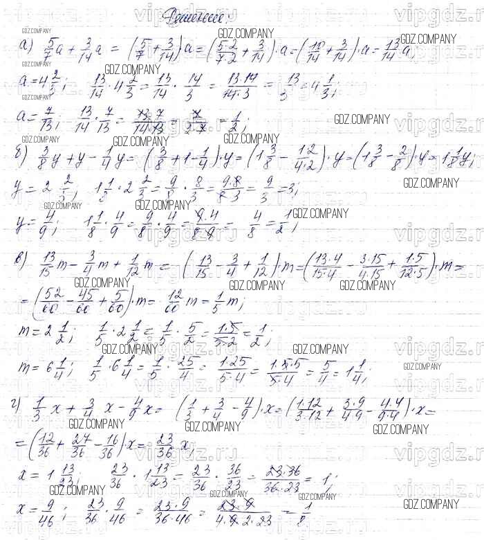
Решебник №1
глава 1 / §3 / 569

Решебник №2
глава 1 / §3 / 569

Решебник №3
глава 1 / §3 / 569

Решебник №5
глава 1 / §3 / 569


Решебник №6
глава 1 / §3 / 569


Решебник №8
глава 1 / §3 / 569

Решебник №9
глава 1 / §3 / 569

Здесь готовые ответы по Математике за 6 (шестой) класс от Виленкин, Жохов, Чесноков, Шварцбурд Учебник (издательство: Мнемозина от 2014 г.) № 569