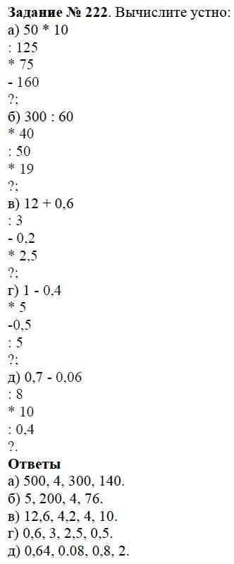
Решебник №1
глава 1 / §2 / 222

Решебник №2
глава 1 / §2 / 222

Решебник №3
глава 1 / §2 / 222

Решебник №4
глава 1 / §2 / 222

Решебник №5
глава 1 / §2 / 222


Решебник №6
глава 1 / §2 / 222

Решебник №7
глава 1 / §2 / 222


Решебник №8
глава 1 / §2 / 222

Решебник №9
глава 1 / §2 / 222

Здесь готовые ответы по Математике за 6 (шестой) класс от Виленкин, Жохов, Чесноков, Шварцбурд Учебник (издательство: Мнемозина от 2014 г.) № 222