Решебник №1
номер / 19

Решебник №2
номер / 19

Решебник №3
номер / 19

Решебник №4
номер / 19

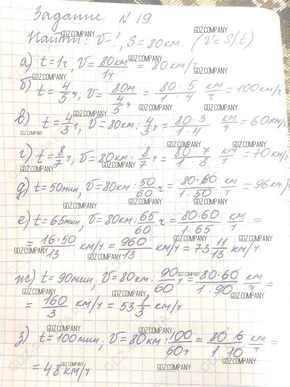
Здесь готовые ответы по Математике за 6 (шестой) класс от Никольский, Потапов, Решетников, Шевкин Учебник МГУ - школе (издательство: Просвещение от 2014 г.) № 19