Решебник №3
приложение / 19

Решебник №4
приложение / 19

Решебник №5
приложение / 19

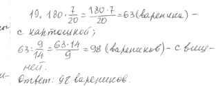
Здесь готовые ответы по Математике за 6 (шестой) класс от Мерзляк, Полонский, Якир Учебник Алгоритм успеха (издательство: Вентана-граф от 2016 г.) № 19