Решебник №1
глава 4 / 1053

Решебник №2
глава 4 / 1053

Решебник №3
глава 4 / 1053

Решебник №4
глава 4 / 1053

Решебник №5
глава 4 / 1053


Решебник №6
глава 4 / 1053

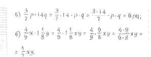
Здесь готовые ответы по Математике за 6 (шестой) класс от Мерзляк, Полонский, Якир Учебник Алгоритм успеха (издательство: Вентана-граф от 2016 г.) № 1053