Решебник №1
глава 4 / 1025

Решебник №2
глава 4 / 1025

Решебник №3
глава 4 / 1025

Решебник №4
глава 4 / 1025

Решебник №5
глава 4 / 1025


Решебник №6
глава 4 / 1025

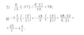
Здесь готовые ответы по Математике за 6 (шестой) класс от Мерзляк, Полонский, Якир Учебник Алгоритм успеха (издательство: Вентана-граф от 2016 г.) № 1025