Решебник №1
глава 3 / 578


Решебник №2
глава 3 / 578

Решебник №3
глава 3 / 578


Решебник №4
глава 3 / 578

Решебник №5
глава 3 / 578


Решебник №6
глава 3 / 578

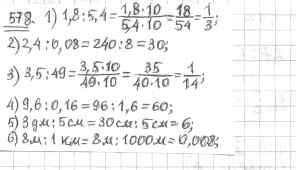
Здесь готовые ответы по Математике за 6 (шестой) класс от Мерзляк, Полонский, Якир Учебник Алгоритм успеха (издательство: Вентана-граф от 2016 г.) № 578