Решебник №1
глава 2 / 555

Решебник №2
глава 2 / 555

Решебник №3
глава 2 / 555


Решебник №4
глава 2 / 555

Решебник №5
глава 2 / 555

Решебник №6
глава 2 / 555

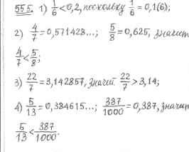
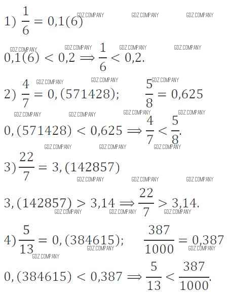
Здесь готовые ответы по Математике за 6 (шестой) класс от Мерзляк, Полонский, Якир Учебник Алгоритм успеха (издательство: Вентана-граф от 2016 г.) № 555