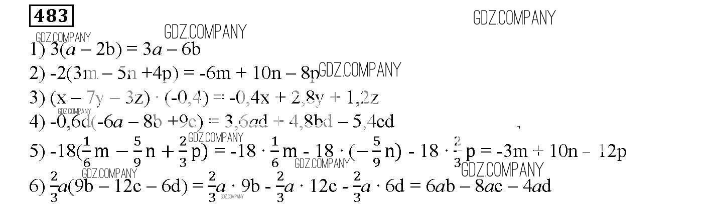
Решебник №1
часть 3. страница / 35


Решебник №2
часть 3. страница / 35


Решебник №3
часть 3. страница / 35

Здесь готовые ответы по Математике за 6 (шестой) класс от Мерзляк, Полонский, Якир Рабочая тетрадь Алгоритм успеха (издательство: Вентана-граф от 2019 г.) № 35