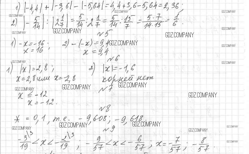
Решебник №1
контрольная работа / кр-7. вариант / 1


Решебник №2
контрольная работа / кр-7. вариант / 1


Решебник №3
контрольная работа / кр-7. вариант / 1

Решебник №4
контрольная работа / кр-7. вариант / 1









Здесь готовые ответы по Математике за 6 (шестой) класс от Мерзляк, Полонский, Рабинович, Якир Дидактические материалы Алгоритм успеха (издательство: Вентана-граф от 2017 г.) № 1