Решебник №1
контрольная работа / кр-4. вариант / 2



Решебник №2
контрольная работа / кр-4. вариант / 2


Решебник №3
контрольная работа / кр-4. вариант / 2

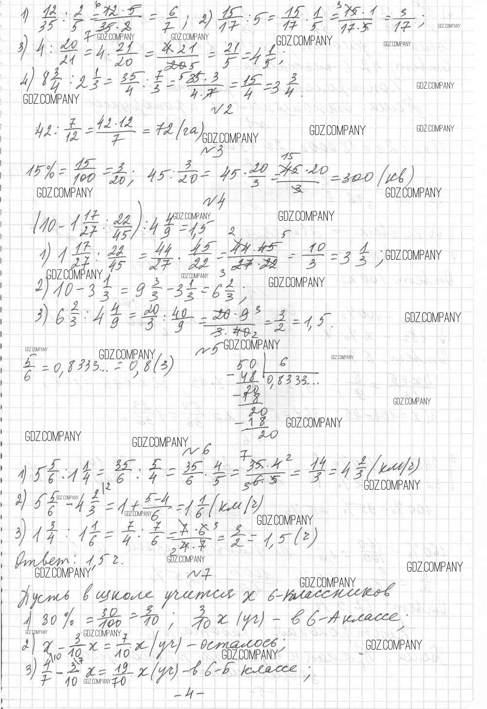
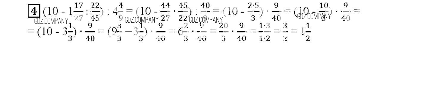
Решебник №4
контрольная работа / кр-4. вариант / 2







Здесь готовые ответы по Математике за 6 (шестой) класс от Мерзляк, Полонский, Рабинович, Якир Дидактические материалы Алгоритм успеха (издательство: Вентана-граф от 2017 г.) № 2