Решебник №1
упражнения. вариант / вариант 2 / 148

Решебник №2
упражнения. вариант / вариант 2 / 148

Решебник №3
упражнения. вариант / вариант 2 / 148

Решебник №4
упражнения. вариант / вариант 2 / 148

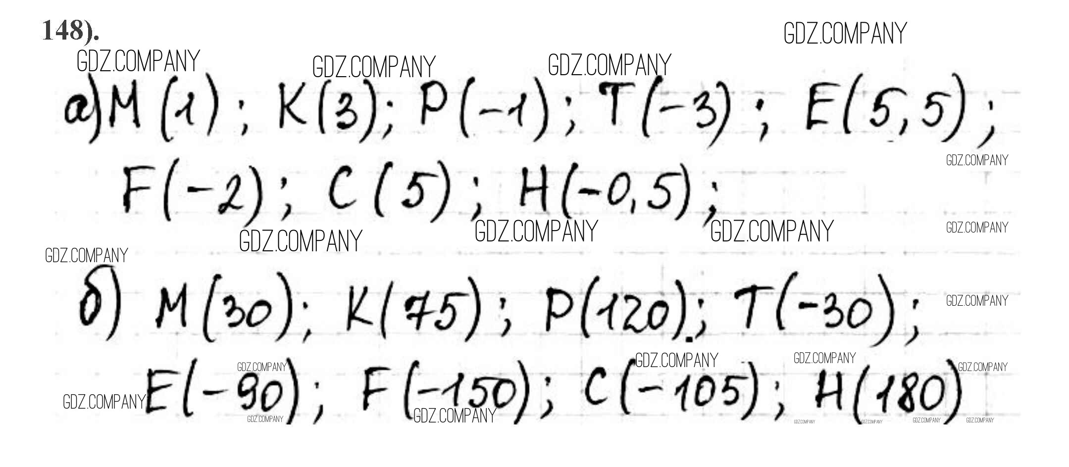
Здесь готовые ответы по Математике за 6 (шестой) класс от Мерзляк, Полонский, Рабинович, Якир Дидактические материалы Алгоритм успеха (издательство: Вентана-граф от 2017 г.) № 148