Решебник №1
чему вы научились. глава / глава 1 / 8

Решебник №2
чему вы научились. глава / глава 1 / 8

Решебник №3
чему вы научились. глава / глава 1 / 8

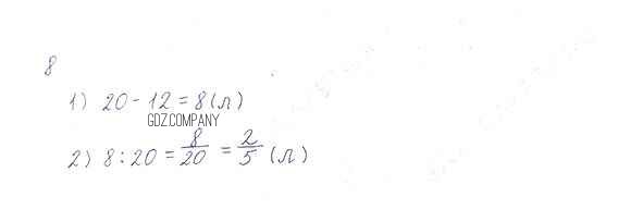
Здесь готовые ответы по Математике за 6 (шестой) класс от Дорофеев, Шарыгин, Суворова Учебник Академический школьный учебник (издательство: Просвещение от 2014 г.) № 8