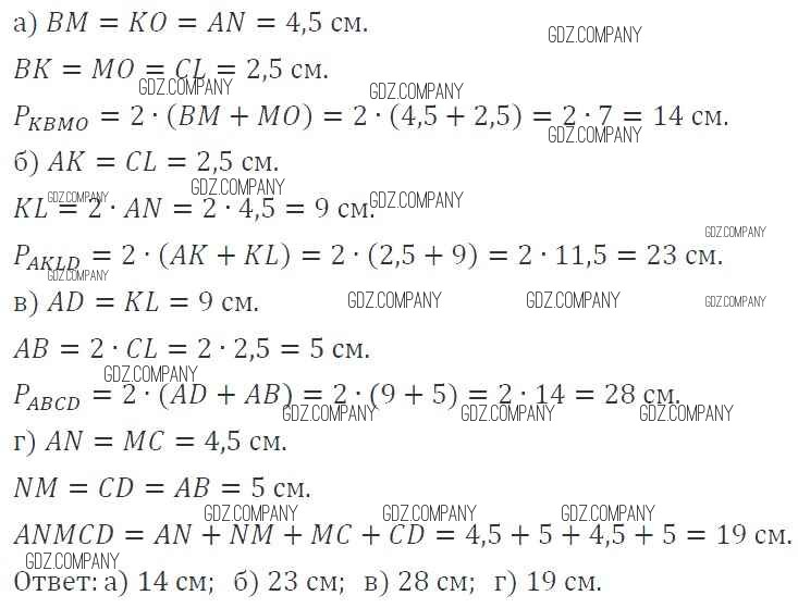
Решебник №1
упражнение / 778

Решебник №2
упражнение / 778

Решебник №3
упражнение / 778

Здесь готовые ответы по Математике за 6 (шестой) класс от Дорофеев, Шарыгин, Суворова Учебник Академический школьный учебник (издательство: Просвещение от 2014 г.) № 778