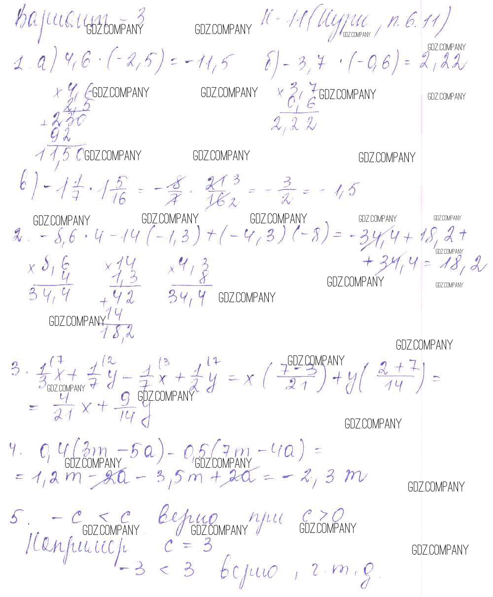
Решебник №1
контрольная работа / к учебнику Нурка / кр-11 / 3

Решебник №2
контрольная работа / к учебнику Нурка / кр-11 / 3


Здесь готовые ответы по Математике за 6 (шестой) класс от Чесноков, Нешков Дидактические материалы (издательство: Академкнига от 2014 г.) № 3