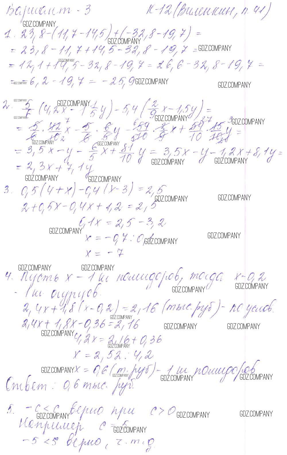
Решебник №1
контрольная работа / к учебнику Виленкина / кр-12 / 3

Решебник №2
контрольная работа / к учебнику Виленкина / кр-12 / 3

Здесь готовые ответы по Математике за 6 (шестой) класс от Чесноков, Нешков Дидактические материалы (издательство: Академкнига от 2014 г.) № 3