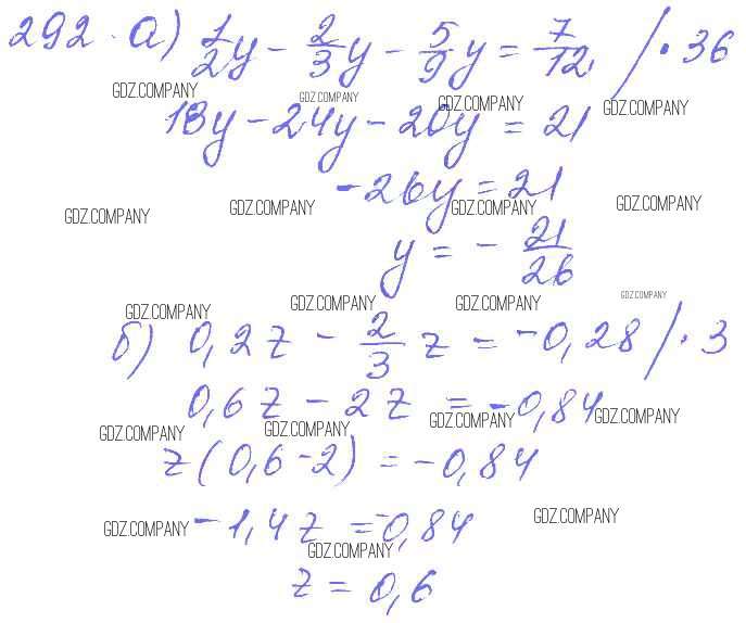
Решебник №1
самостоятельная работа / вариант 1 / 292

Решебник №2
самостоятельная работа / вариант 1 / 292

Здесь готовые ответы по Математике за 6 (шестой) класс от Чесноков, Нешков Дидактические материалы (издательство: Академкнига от 2014 г.) № 292