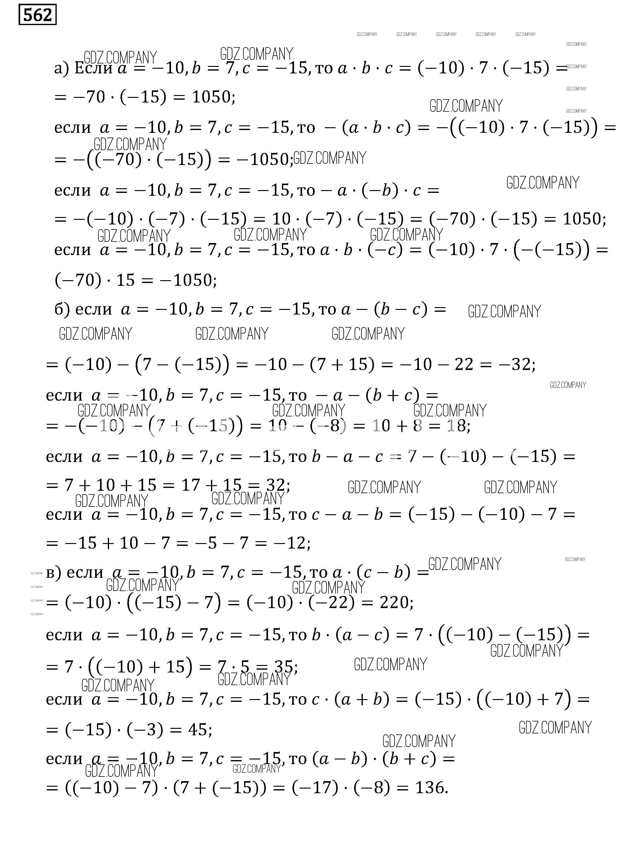
Решебник
упражнение / 562
Решебник 2
упражнение / 562
Здесь готовые ответы по Математике за 6 (шестой) класс от Бунимович, Кузнецова, Минаева Задачник Сферы (издательство: Просвещение от 2014 г.) № 562