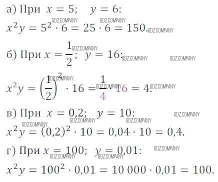
Решебник №1
упражнение / 418

Решебник №2
упражнение / 418

Решебник №3
упражнение / 418

Здесь готовые ответы по Математике за 6 (шестой) класс от Бунимович, Кузнецова, Минаева Учебник Сферы (издательство: Просвещение от 2014 г.) № 418