Решебник №1

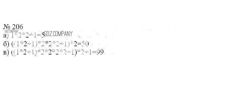
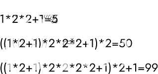
задание / 206

Решебник №2

задание / 206

Решебник №3

задание / 206

Здесь готовые ответы по Информатике за 6 (шестой) класс от Босова Рабочая тетрадь (издательство: Бином от 2017 г.) № 206