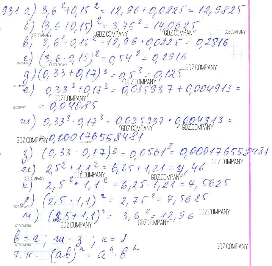
Решебник №1
упражнение / 931


Решебник №2
упражнение / 931

Решебник №3
упражнение / 931

Решебник №5
упражнение / 931

Здесь готовые ответы по Математике за 5 (пятый) класс от Зубарева, Мордкович Учебник (издательство: Мнемозина от 2015 г.) № 931