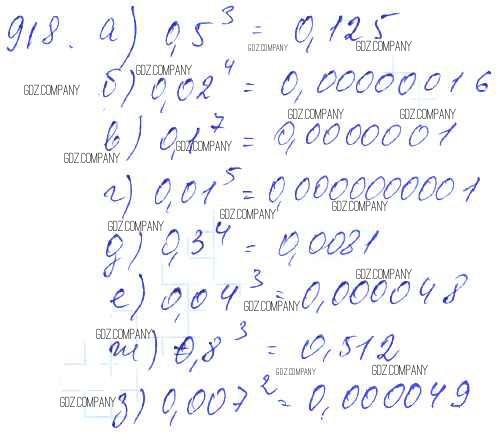
Решебник №1
упражнение / 918

Решебник №2
упражнение / 918

Решебник №3
упражнение / 918

Решебник №5
упражнение / 918

Здесь готовые ответы по Математике за 5 (пятый) класс от Зубарева, Мордкович Учебник (издательство: Мнемозина от 2015 г.) № 918