Решебник №1
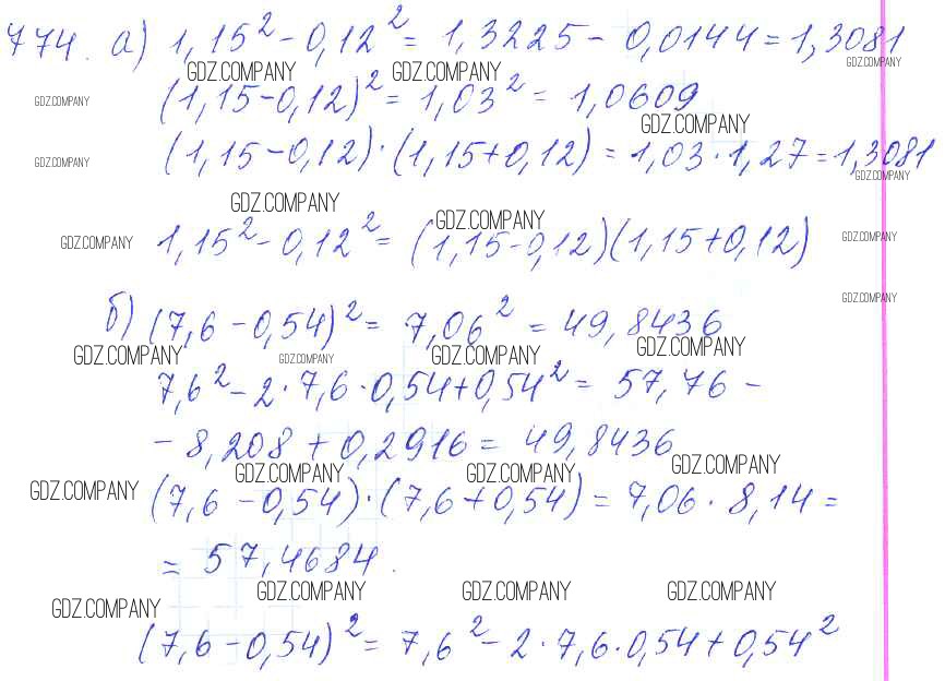
упражнение / 774

Решебник №2
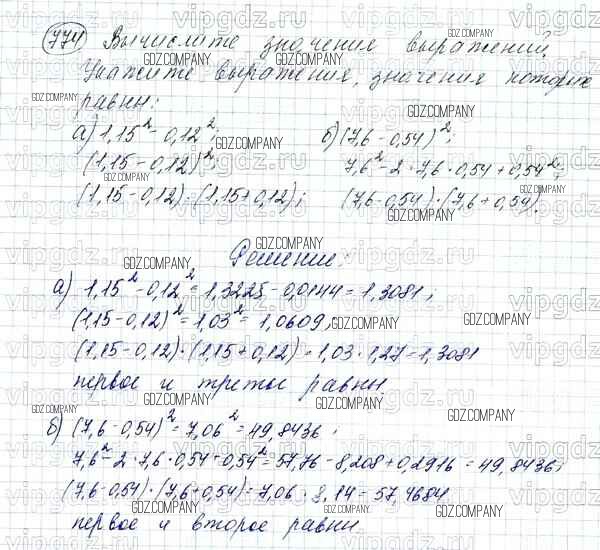
упражнение / 774

Решебник №3
упражнение / 774

Решебник №4
упражнение / 774


Решебник №5
упражнение / 774

Здесь готовые ответы по Математике за 5 (пятый) класс от Зубарева, Мордкович Учебник (издательство: Мнемозина от 2015 г.) № 774