Решебник №1
упражнение / 544


Решебник №2
упражнение / 544

Решебник №3
упражнение / 544

Решебник №4
упражнение / 544


Решебник №5
упражнение / 544

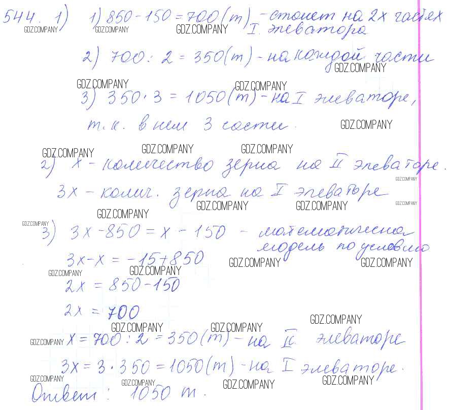
Здесь готовые ответы по Математике за 5 (пятый) класс от Зубарева, Мордкович Учебник (издательство: Мнемозина от 2015 г.) № 544